- 1 : 2025/02/07(金) 10:27:14.23 ID:F1KLRKVt0
-
■日本の政治家の5割は世襲
https://diamond.jp/articles/-/215786■アメリカ世襲率5%
https://plaza.rakuten.co.jp/bluestone998/diary/200811080000/■海外世襲議員率10%未満
https://note.com/mielka/n/nf5af01fdaed9■ドイツに世襲議員は1人だけ
https://www.jiji.com/sp/v4?id=20211118world0003■日本の異常な世襲率
https://toyokeizai.net/articles/-/642655?page=3■戦後政治家の75%が世襲
https://gendai.media/articles/-/103150?page=6■カンボジア36年間統治のフン・セン首相が世襲宣言…「日本にも安倍王朝ある…」言及
https://s.japanese.joins.com/JArticle/285397?sectcode=A00&servcode=A00■野田元総理「裏金といううまみがあって、相続は非課税。うまみがあるから世襲が増える」
https://newsdig.tbs.co.jp/articles/-/912392?page=2 - 38 : 2025/02/07(金) 10:27:55.72 ID:F1KLRKVt0
-
■総務省「政治資金に相続税の課税は生じない」
https://www.tokyo-np.co.jp/article/295464■総務省「政治資金の使途については、原則として特段の制限はない」
https://news.yahoo.co.jp/articles/95f39b5324419772183d2aaa22352f28f3ef607b■弁護士「政治家は無税相続できる」
https://www.lawyers-kokoro.com/nagoya/bengoshi-blog/897/■大前研一「世襲議員の原因は相続税ゼロ」
https://president.jp/articles/-/1857?page=1■元国税「政治家は相続税ゼロ」
https://topics.smt.docomo.ne.jp/article/mag2/nation/mag2-559784■世襲議員天国、理由は相続税ゼロ
https://gentosha-go.com/articles/-/23317■政治資金団体は相続税ゼロ
https://times.abema.tv/articles/-/8642037■共産党「政治家は相続税ゼロ。異常な特権」
https://www.jcp.or.jp/seisaku/2010_1/sanin_bunya/2010-00-29.html■小林節「世襲議員」はもはや憲法違反だ 日本は事実上の「貴族政治」になっているhttps://www.nikkan-gendai.com/articles/view/news/330965
■政治家と税金
https://www.asadakaikei.co.jp/archives/12273■相続税もかからない…!診療代もタダ…!いくら何でもズルすぎる「議員特権」一覧
https://gendai.media/articles/-/124084■立憲民主党「政治資金の相続贈与を禁止すべき」
https://www.asahi.com/sp/articles/ASRB36DPPRB3UTFK00F.html■維新の会「政治家の相続税が非課税になる問題を是正する」
https://o-ishin.jp/election/shuin2017/common/pdf/manifest.pdf■共産党「政治資金に相続税をかけるべき」
https://www.jcp.or.jp/seisaku/2010_1/sanin_bunya/2010-00-29.html■河野太郎「相続税回避かのような政治資金の引き渡しはいかん」
https://www.nikkansports.com/general/nikkan/news/202409220000671.html■米シンクタンク「日本の相続税は世界一の重税」
https://diamond.jp/articles/-/141511 - 39 : 2025/02/07(金) 10:28:01.93 ID:KvkCSW0jd
-
勝ち取った民主主義じゃなく与えられた民主主義だから
- 40 : 2025/02/07(金) 10:28:13.09 ID:iKQ1AfmHH
-
世襲は排除しろ
- 41 : 2025/02/07(金) 10:28:25.32 ID:F1KLRKVt0
-
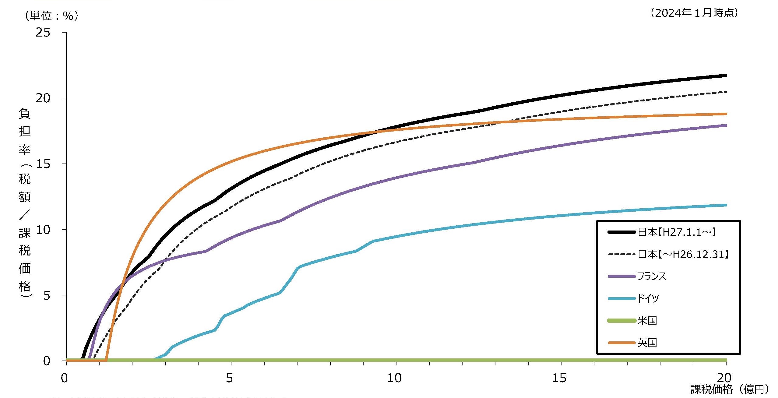
■相続税の高さ世界1位
https://news.yahoo.co.jp/articles/7121b78477bbf92356c045dfa42f04df0eaf43ac
https://www.mof.go.jp/tax_policy/summary/itn_comparison/j05.htm■邱永漢「日本は政治家と生活保護の人だけになる」
https://business.nikkei.com/atcl/NBD/19/depth/00357/■相続税 世界比較 税率
1位:日本(55%)
2位:韓国(50%)
3位:フランス(45%)
4位:英国、米国(40%)
6位:スペイン(34%)
7位:アイルランド(33%)
8位:ベルギー、ドイツ(30%)
10位:チリ(25%)
11位:ギリシャ、オランダ(20%)
13位:フィンランド(19%)
14位:デンマーク(15%)
15位:アイスランド、トルコ(10%)■相続税の無い国
中国、シンガポール、マレーシア、オーストラリア、ニュージーランド、カナダ、スウェーデン
■相続税 基礎控除額
日本 3000万円+600万円✕法定相続人
米国 約40.8億円まで免税、配偶者免税
https://www.mof.go.jp/tax_policy/summary/itn_comparison/j05.htmアメリカでは15億円以下の相続財産が非課税だが日本では4,800万円でも課税対象。これじゃ、子や孫に何も残せないよ…他国と比較して見えてくる日本の“異常性
https://news.yahoo.co.jp/articles/00a01a76393c3842a85ecca374f9bf62edc26531
- 49 : 2025/02/07(金) 10:29:50.33 ID:7d/Ll1yG0
-
>>41
政治家は相続税回避できるわけだから
庶民も無くせばいいんだよ - 70 : 2025/02/07(金) 10:34:37.10 ID:ipqD5VHo0
-
>>41
親の財産当てにしないで自分で稼げや
良い教育受けてんだろ? - 42 : 2025/02/07(金) 10:28:25.93 ID:6n0hkOQd0
-
根っからの奴隷民族だから
- 43 : 2025/02/07(金) 10:28:28.97 ID:NDhInJFG0
-
自分達の地元良くしてくれれば
他はどうでもいいから - 44 : 2025/02/07(金) 10:28:40.01 ID:11vd8a5N0
-
いわばまさに国技でありますから
- 45 : 2025/02/07(金) 10:29:30.19 ID:qxGvJAve0
-
アメリカとかドイツの議員給与みてると割と低めなんだが
なんでそこに世襲せずに続々議員になりたがる人間がいるのか不思議だわ - 46 : 2025/02/07(金) 10:29:35.44 ID:aG95hVEC0
-
もはや世襲率の高さは北朝鮮みたいなもんだよな
- 47 : 2025/02/07(金) 10:29:48.10 ID:dKc+Q50o0
-
三親等以内の人が議員だった地域には出馬出来ないとか法律作りゃいいけど
世襲議員側が多数だから無理だろうな - 48 : 2025/02/07(金) 10:29:49.02 ID:tWzKLFtb0
-
音楽家系や医者家系と同じようなもんやろ
- 50 : 2025/02/07(金) 10:29:55.82 ID:5TAut3l90
-
国民が政治に無関心
権威主義封建主義の末路 - 51 : 2025/02/07(金) 10:30:12.63 ID:qhH7URh3M
-
正直せいじかなんてやりたくねぇだろ
学級委員みたいなもんだよ
目立ちたがり系の真面目くらいしか立候補しない
最近は反社とかもでてきたけど
日本人の政治意識の低さはどうしようもないね - 52 : 2025/02/07(金) 10:30:18.42 ID:9aIPfICV0
-
奴隷だから
- 53 : 2025/02/07(金) 10:30:27.19 ID:BzUTO7wZa
-
地方のおじいちゃんおばあちゃんは世襲が好きだから
- 54 : 2025/02/07(金) 10:30:36.66 ID:AEV3uwT80
-
東朝鮮だから
- 55 : 2025/02/07(金) 10:30:48.04 ID:H4jeLr0m0
-
巧妙に騙されてるからやろ。
吸われてる側やのになぜか経営者目線
赤紙が来る立場やのに、軍師目線義務教育の失敗
- 56 : 2025/02/07(金) 10:30:53.45 ID:sUOBeAPD0
-
政治家、やりたがるやつがヤバイ奴しかいない
- 57 : 2025/02/07(金) 10:31:08.60 ID:N8Yt0lG+d
-
世襲議員の多くは東京生まれ・東京育ちに関わらず、
選挙の時だけ地元(笑)に寄り添うフリをしたら票を入れる地方有権者の魅力 - 58 : 2025/02/07(金) 10:31:11.22 ID:A4JPMz/A0
-
世襲議員は皆殺しにしろ
投票している奴は関係者家族皆殺しにしろ - 59 : 2025/02/07(金) 10:31:20.36 ID:aqoZ0Iv40
-
政治を家業としているゴミは死んでくれ
- 60 : 2025/02/07(金) 10:32:19.25 ID:+9Hz549I0
-
・貴族院が廃止されてまだ100年もたってない
・国民自らの手で民主主義を成し遂げた経験がない
以上の理由から日本ではまだ難しい
- 61 : 2025/02/07(金) 10:32:41.53 ID:Sxevk4JK0
-
ジャップは民主主義に見せかけた封建制だから
- 62 : 2025/02/07(金) 10:32:41.89 ID:bG2qcrUy0
-
有権者が世襲好きなんだからいいだろ
- 63 : 2025/02/07(金) 10:32:55.97 ID:mf8lqF/S0
-
下級は相続税で毟られて選挙に出れないようにされるから仕方ないね
政治家一族は無税で相続できるけど(´・ω・`) - 64 : 2025/02/07(金) 10:33:18.19 ID:gsX5tN0q0
-
アベは大成功したのにキシダ襲撃犯がヘタレこいだから止まらんやろな
- 65 : 2025/02/07(金) 10:33:35.24 ID:iQzVYtxF0
-
女みたいに世襲も目標決めればええやん
5%までとか - 66 : 2025/02/07(金) 10:33:54.72 ID:PtZkSEAw0
-
腐敗の理由
- 67 : 2025/02/07(金) 10:34:04.09 ID:5Rym3dU70
-
なんかの本で読んだけど企業の経営者層って遠い近いはあるけどほとんどみんなお互いに親戚関係なんだってね
- 68 : 2025/02/07(金) 10:34:14.33 ID:ScZdC8oM0
-
日本の政治家なんて罵詈雑言を浴びるだけで1ミリも尊敬されない職業になろうとする奴が世襲以外いないんだろ
- 69 : 2025/02/07(金) 10:34:31.18 ID:ruyiXDuP0
-
どこの馬の骨かをすごく気にする国民性だから
- 71 : 2025/02/07(金) 10:34:38.19 ID:LTutechpM
-
血統大好きジャンプだからな
- 72 : 2025/02/07(金) 10:34:44.77 ID:SMQgbIgj0
-
相続税も回避
- 73 : 2025/02/07(金) 10:35:03.54 ID:QD+CN4Di0
-
世襲と支持者はちょんまげ強制にしろ
結えないハゲは腹切って4ね - 74 : 2025/02/07(金) 10:35:23.30 ID:BEUGso950
-
俺ら根性腐ってるから世襲じゃない奴がなったとしてもいずれ世襲する
- 75 : 2025/02/07(金) 10:35:31.91 ID:qWPpkGAK0
-
悪い事、みんなでやれば怖くない
- 76 : 2025/02/07(金) 10:35:35.79 ID:RP48MFoBM
-
テレビでやらないから
- 77 : 2025/02/07(金) 10:35:46.79 ID:5TAut3l90
-
政治家って今の日本にいない
いるのは政治屋
儲かるから世襲が群がってくるだけ - 78 : 2025/02/07(金) 10:35:57.59 ID:BOi8b4ds0
-
真面目に国民が望んでるから
日本人は政治は政治家がやるもので自分とは関係ないと思ってる
だから政治家の子供が政治家になるのが当然と言う考えがある - 79 : 2025/02/07(金) 10:36:04.60 ID:ftSKo28r0
-
誰も言わないけどヤバい
ヤバいから誰も言わない
むしろそんなのばっかり - 80 : 2025/02/07(金) 10:36:09.32 ID:SMQgbIgj0
-
戦国武将とか人気があるし権力者に付き従うことが幸せなんだよ
- 81 : 2025/02/07(金) 10:36:15.07 ID:UPjDMPGV0
-
唯一マシなのは海外やと政治家の名前ついた施設や船が作られるけど日本には安倍晋三記念小学校しかないこと
- 82 : 2025/02/07(金) 10:36:21.73 ID:dT1rUshh0
-
地盤看板鞄なきゃ土俵に上がれない国
- 83 : 2025/02/07(金) 10:36:22.07 ID:DLHUVGD/0
-
領主やお殿様文化が何百年経ってもまだ残ってるんだから凄いよな
- 84 : 2025/02/07(金) 10:36:24.22 ID:SieT4Bjq0
-
選挙に金かかるからね。
世襲議員は親族が地元の有力な企業を経営してる人多いし。 - 85 : 2025/02/07(金) 10:36:24.44 ID:bwCNlG5ad
-
優秀なら何にも問題ないけど
無能だらけだからこうなるわな
世襲は辞めないとほんとヤバい - 86 : 2025/02/07(金) 10:36:25.98 ID:nAmee0e90
-
他にやろうとするヤツが多くなれば自然と減るよ
ここと同じでみんな他責にしたい奴ばっかりやね - 87 : 2025/02/07(金) 10:36:26.14 ID:8De+zFmJ0
-
権威、ご威光、血統が大好きな民族だからな
出自不明のどこの馬の骨とも知れん奴らは受け入れらない - 88 : 2025/02/07(金) 10:36:28.63 ID:Al53rEcr0
-
でも世襲制限されると厳しいのは小さい界隈でやりくりしてる野党だぞ
- 89 : 2025/02/07(金) 10:36:42.77 ID:IkU/odeB0
-
世襲の方がマシだからだよ
- 90 : 2025/02/07(金) 10:36:42.98 ID:Rus215dc0
-
賃金が安いから、この学歴でやるヤツが世襲しか残らない
- 92 : 2025/02/07(金) 10:36:44.72 ID:hoGBHtTg0
-
健常者が議員になってもメンタル破壊されてすぐ辞めるから
- 93 : 2025/02/07(金) 10:36:46.73 ID:HROl7VI90
-
汚職や利権云々は別にして政治に限らず世襲てシステムの効率としてはどうなの
- 94 : 2025/02/07(金) 10:36:50.85 ID:MRdFf96W0
-
選挙に出るには、会社員なら仕事辞めなきゃなんないし、選挙資金のために貯金崩さなきゃなんないしで
で、落選したら無職じゃん
家族ともども路頭に迷うわ
どーすんだよこれ?
誰がそんな罰ゲーやるの? - 95 : 2025/02/07(金) 10:36:54.26 ID:1pbQ3B+P0
-
見て見ぬふりの国民性の正体
知ったら最後 - 96 : 2025/02/07(金) 10:37:04.05 ID:ztEqy1+S0
-
群馬は衆参議員全て世襲だよな
いかにも地方都市って感じ - 97 : 2025/02/07(金) 10:37:04.67 ID:poDJkvGD0
-
選挙に何億もかかって負けたら借金持ちなんてやりたいやつ限られるから
- 99 : 2025/02/07(金) 10:37:22.66 ID:VWen9cTD0
-
血統にひれ伏すように調教された奴隷たち
もう生まれからすべて決定するように仕組まれた上級たちのための国 - 100 : 2025/02/07(金) 10:37:25.33 ID:rgpCo9gt0
-
無能が居座る世界だもんな
無能以下の害悪だけど - 101 : 2025/02/07(金) 10:37:28.07 ID:fJ9t3ACV0
-
特権かなんかしらんけど相続税かからんらしいな
- 102 : 2025/02/07(金) 10:37:42.51 ID:abMivzEX0
-
80年前の世襲率はめちゃくちゃ低かった
なぜなら世襲議員は貴族院に閉じ込めてたから - 104 : 2025/02/07(金) 10:37:51.87 ID:Rus215dc0
-
医者や弁護しやコンサルタントのが稼げるからね仕方ないね
そのくせ不安定だから普通の学あるやつはやらん - 110 : 2025/02/07(金) 10:39:07.40 ID:abMivzEX0
-
>>104
学やカネ以上に、あの選挙活動の狂気やキチゲェさに耐えられないよ
普通の人は - 105 : 2025/02/07(金) 10:38:04.33 ID:xXE3PVkx0
-
【社会人脱落者】が議員になるのとどっちがいいのか難しいところ
30年ぐらい何かやってきて成し遂げて次のステップとしてとかなら、見識活かして議員、は信頼できるかも - 106 : 2025/02/07(金) 10:38:13.11 ID:/SXxVjIL0
-
でもお前ら 島根の補選では立憲の世襲候補応援してたやん
結局お前らダブスタなんだよ
- 107 : 2025/02/07(金) 10:38:24.03 ID:eh+7xgd+0
-
世襲を担ぎ上げることで後援会の連中が旨い汁啜れるんですわ
- 108 : 2025/02/07(金) 10:38:25.04 ID:J3dmX5wZ0
-
ジャップ社会は政治だけじゃなく社会全般がすぐ固定化して利権も固定化する土人社会なんだから全てを常に新陳代謝するように強制化すべき
- 109 : 2025/02/07(金) 10:38:54.73 ID:FYS8OCW50
-
東京生まれ東京育ちの世襲が国を動かして衰退させてるからな
- 111 : 2025/02/07(金) 10:39:12.69 ID:5xUwBsORM
-
支援者も世襲
日本の議員の世襲率がエグすぎるんだけど誰も気にしてない理由ってなんなの?
嫌儲


コメント