- 1 : 2025/02/28(金) 08:45:05.15 ID:U02uTCY70
- 50 : 2025/02/28(金) 08:45:45.97 ID:U02uTCY70
-
宗教法人売買がいま熱い。収入も固定資産税も相続税も非課税。一定額まで申告不要のブラックボックス、外国人、資産家、暴力団などが買ってるらしい
ソース
寺や神社が高値で“売り”に出されている!? 宗教法人の税制優遇などが背景に 「外国人でもOK」ブローカーに“裏事情”聞く 『母の墓』勝手に移設された檀家の“怒り”
https://www.ktv.jp/news/tsuiseki/230622/【脱法売買-宗教法人法を問う】㊤宗教法人、億単位取引も…蠢く「合法」仲介ビジネス
2023/05/03
https://www.sankei.com/article/20230503-DPA36AOTRNOEFNS26BJXFONVH4/休眠宗教法人、マネロンの温床 「3000万円で…」売買横行
https://www.nikkei.com/article/DGXZQOUF0635Q0W4A101C2000000/“法の隙間” でブローカー暗躍「宗教法人を買って無税」報道に憤激の声「何のための優遇」「売買禁止に」
https://smart-flash.jp/sociopolitics/241272/1/1/旧統一教会がブローカー通じ宗教法人"買う"可能性解散命令後は「ヤドカリ」作戦で復活&潜伏カルト化の恐怖 – 「宗教法人解散」は諸刃の剣長期監視が欠かせない
- 51 : 2025/02/28(金) 08:46:28.92 ID:U02uTCY70
-
■日本の政治家の5割は世襲
https://diamond.jp/articles/-/215786■アメリカ世襲率5%
https://plaza.rakuten.co.jp/bluestone998/diary/200811080000/■海外世襲議員率10%未満
https://note.com/mielka/n/nf5af01fdaed9■ドイツに世襲議員は1人だけ
https://www.jiji.com/sp/v4?id=20211118world0003■日本の異常な世襲率
https://toyokeizai.net/articles/-/642655?page=3■戦後政治家の75%が世襲
https://gendai.media/articles/-/103150?page=6■カンボジア36年間統治のフン・セン首相が世襲宣言…「日本にも安倍王朝ある…」言及
https://s.japanese.joins.com/JArticle/285397?sectcode=A00&servcode=A00■野田元総理「裏金といううまみがあって、相続は非課税。うまみがあるから世襲が増える」
https://newsdig.tbs.co.jp/articles/-/912392?page=2■総務省「政治資金に相続税の課税は生じない」
https://www.tokyo-np.co.jp/article/295464■総務省「政治資金の使途については、原則として特段の制限はない」
https://news.yahoo.co.jp/articles/95f39b5324419772183d2aaa22352f28f3ef607b■弁護士「政治家は無税相続できる」
https://www.lawyers-kokoro.com/nagoya/bengoshi-blog/897/■大前研一「世襲議員の原因は相続税ゼロ」
https://president.jp/articles/-/1857?page=1 - 53 : 2025/02/28(金) 08:46:57.18 ID:0nrLfQ+G0
-
とりあえず売買禁止しろ
- 54 : 2025/02/28(金) 08:47:11.51 ID:U02uTCY70
-
■共産党「政治家は相続税ゼロ。異常な特権」
https://www.jcp.or.jp/seisaku/2010_1/sanin_bunya/2010-00-29.html■小林節「世襲議員」はもはや憲法違反だ 日本は事実上の「貴族政治」になっているhttps://www.nikkan-gendai.com/articles/view/news/330965
■政治家と税金
https://www.asadakaikei.co.jp/archives/12273■相続税もかからない…!診療代もタダ…!いくら何でもズルすぎる「議員特権」一覧
https://gendai.media/articles/-/124084■立憲民主党「政治資金の相続贈与を禁止すべき」
https://www.asahi.com/sp/articles/ASRB36DPPRB3UTFK00F.html■維新の会「政治家の相続税が非課税になる問題を是正する」
https://o-ishin.jp/election/shuin2017/common/pdf/manifest.pdf■共産党「政治資金に相続税をかけるべき」
https://www.jcp.or.jp/seisaku/2010_1/sanin_bunya/2010-00-29.html■河野太郎「相続税回避かのような政治資金の引き渡しはいかん」
https://www.nikkansports.com/general/nikkan/news/202409220000671.html■米シンクタンク「日本の相続税は世界一の重税」
https://diamond.jp/articles/-/141511■相続税の高さ世界1位
https://news.yahoo.co.jp/articles/7121b78477bbf92356c045dfa42f04df0eaf43ac
https://www.mof.go.jp/tax_policy/summary/itn_comparison/j05.htm■邱永漢「日本は政治家と生活保護の人だけになる」
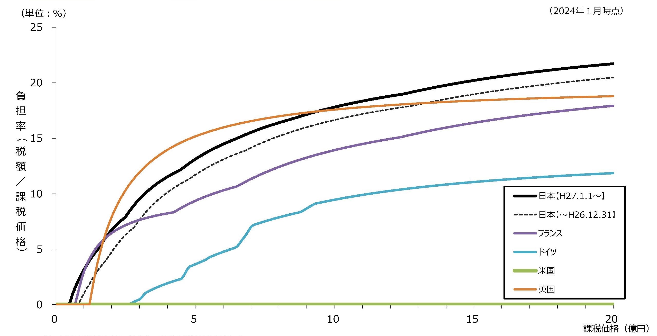
https://business.nikkei.com/atcl/NBD/19/depth/00357/■相続税 世界比較 税率
1位:日本(55%)
2位:韓国(50%)
3位:フランス(45%)
4位:英国、米国(40%)
6位:スペイン(34%)
7位:アイルランド(33%)
8位:ベルギー、ドイツ(30%)
10位:チリ(25%)
11位:ギリシャ、オランダ(20%)
13位:フィンランド(19%)
14位:デンマーク(15%)
15位:アイスランド、トルコ(10%) - 55 : 2025/02/28(金) 08:47:27.41 ID:eSbSjqv20
-
脱税装置になってる
- 56 : 2025/02/28(金) 08:47:27.99 ID:eB/+tKpd0
-
膿が治癒可能な場所を摘出しろという謎がまかりとおる世界
- 57 : 2025/02/28(金) 08:47:44.03 ID:U02uTCY70
-
■相続税の無い国
中国、シンガポール、マレーシア、オーストラリア、ニュージーランド、カナダ、スウェーデン
■相続税 基礎控除額
日本 3000万円+600万円✕法定相続人
米国 約40.8億円まで免税、配偶者免税
https://www.mof.go.jp/tax_policy/summary/itn_comparison/j05.htmアメリカでは15億円以下の相続財産が非課税だが日本では4,800万円でも課税対象。これじゃ、子や孫に何も残せないよ…他国と比較して見えてくる日本の“異常性
https://news.yahoo.co.jp/articles/00a01a76393c3842a85ecca374f9bf62edc26531
- 58 : 2025/02/28(金) 08:48:10.45 ID:eSbSjqv20
-
脱税装置になってる
1%でもいいから申告させないとダメだろ
- 59 : 2025/02/28(金) 08:48:37.15 ID:5Td8GVXh0
-
税金かけないことによって力持ちすぎちゃう
- 60 : 2025/02/28(金) 08:49:03.38 ID:SJ+psv560
-
企業団体献金を禁止すればいいだけ。
- 61 : 2025/02/28(金) 08:49:23.59 ID:yI68nZtY0
-
政治家の給料3倍にして月一で国民投票して一定数以下の得票率の奴は2親等まで処刑すればいいよ
ハイリスクハイリターンにしないとダメ - 62 : 2025/02/28(金) 08:49:38.70 ID:RuJuRS9KM
-
宗教はネットのせいで印象悪くなったよな
SNSとか禁止にしたらいいのに
瀬戸内寂聴なんかもそうだったけど、お前らただのコスプレイヤーのごっこ遊びじゃんって
なんかもっとタイみたいにやれとは言わんが表向きだけでも真面目にやればいいのに
そしたらだいぶ印象変わると思うけどな
ツイッターやったりユーチューバーやったり配信したりバンドやったりバーやったり、そういうの見るとなんかなぁってなるよね - 63 : 2025/02/28(金) 08:50:15.53 ID:Acxc/fu70
-
財務省解体と法人税増税もな。
- 64 : 2025/02/28(金) 08:51:10.44 ID:dG/ZNePa0
-
国会議員は50%減らしてくれ
活動費も透明化しろ - 65 : 2025/02/28(金) 08:51:30.62 ID:7B2SNHOl0
-
日本では税金をどっから取るか決めてるのが政治家と政治家を操ってるカルト宗教だから無理
- 69 : 2025/02/28(金) 08:53:04.72 ID:eSbSjqv20
-
>>65
その通りだな宗教と政治家が日本を支配している
- 66 : 2025/02/28(金) 08:51:53.90 ID:1rQYzM1b0
-
いやだから何度もいうけど
膿じゃなくて病原体な - 67 : 2025/02/28(金) 08:51:55.14 ID:DoA3xBI20
-
むしろ補助金入れてもらわないと、
地域の住人だけでは本堂とか文化財とか維持出来なくなりつつある - 71 : 2025/02/28(金) 08:54:09.98 ID:U02uTCY70
-
>>67
文化財なんていらん 普通の人たちは相続税が払えなかったら自宅も売るし文化財も売る 寺もそうしろ 相続税が払えないなら潰して売ればいい - 68 : 2025/02/28(金) 08:52:08.31 ID:O5pUyv/70
-
政治団体が相続逃れに使われている実態があるからな
上手いこと課税できる制度設計をしたい - 70 : 2025/02/28(金) 08:53:46.75 ID:+dWyhAYn0
-
膿というか優遇する意味がわからない
日本人、気ずく…政治家と宗教に税金かけたら日本は膿が出て復活する
嫌儲


コメント